Ответы
Ответ дал:
2
Ответ:
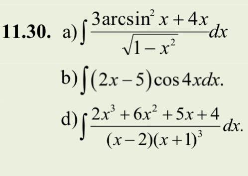
а) Непосредственное интегрирование и подведение под знак дифференциала .
b) Интегрирование по частям : .
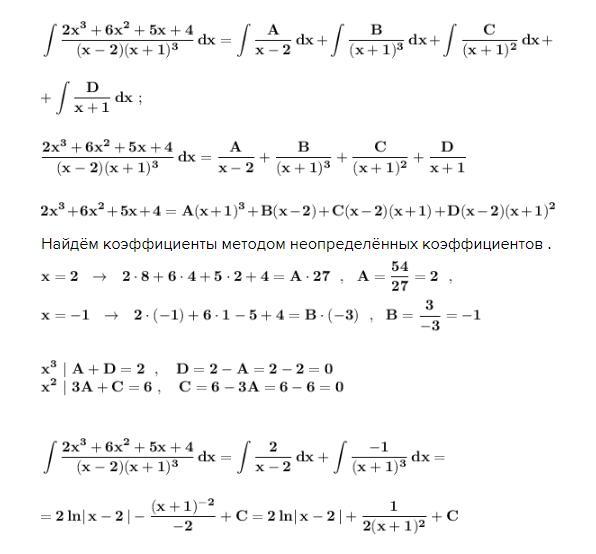
d) Интегрирование рациональных дробей .
Найдём коэффициенты методом неопределённых коэффициентов .
Приложения:


Xonda7777:
Спасибо огромное
Вас заинтересует
1 год назад
1 год назад
1 год назад
1 год назад
2 года назад
2 года назад
8 лет назад