Как решить уравнение: (sinx)^2–(sin2x)^2+(sin3x)^2=1/2
antonovm:
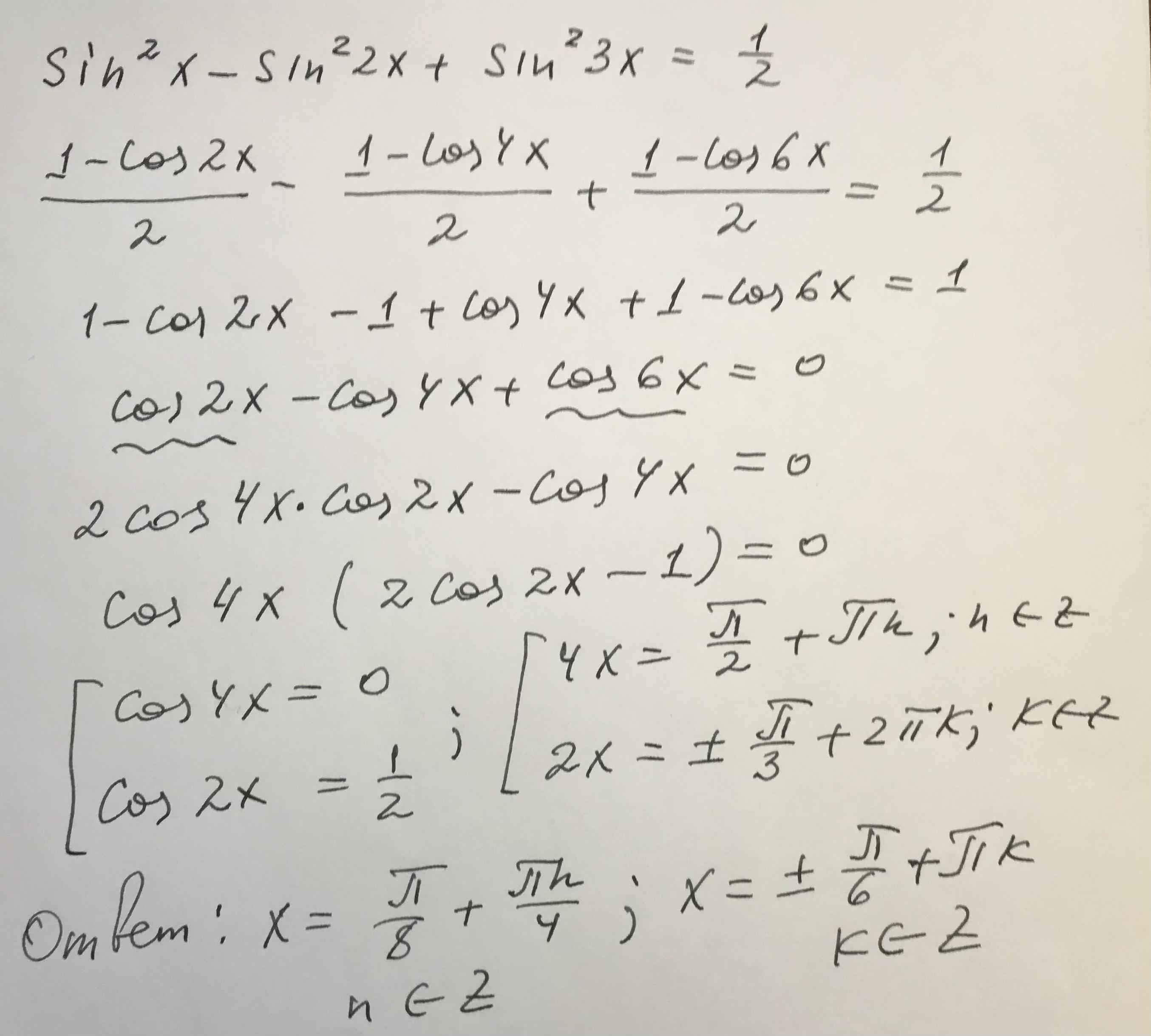
применить формулы понижения степени
Ответы
Ответ дал:
0
Ответ:
.............................................................
Пошаговое объяснение:
Приложения:

Вас заинтересует
1 год назад
1 год назад
1 год назад
2 года назад
2 года назад