• Предмет: Геометрия
  • Автор: stalskyigleb
  • Вопрос задан 1 год назад

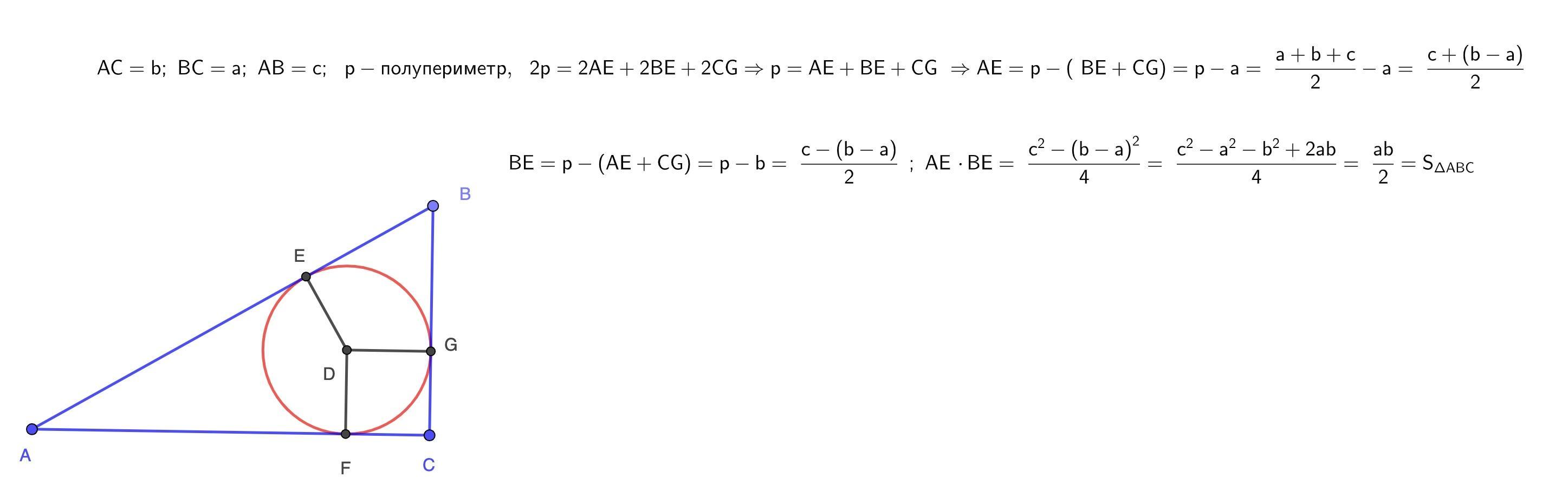
Доведіть, що коло, вписане у прямокутний трикутник, ділить його гіпотенузу на відрізки, добуток яких дорівнює площі цього трикутника.​


Аноним: Кину відповідьв телегу мені hahobn

Ответы

Ответ дал: 7x8
1

З теореми Піфагора

AC^2+CB^2=AB^2\\(x+r)^2+(r+y)^2=(x+y)^2\\x^2+2xr+r^2+r^2+2ry+y^2=x^2+2xy+y^2\\x^2+2xr+r^2+r^2+2ry+y^2-x^2-2xy-y^2=0\\2xr+2r^2+2ry-2xy=0\ \ \ |:(-2)\\-xr-r^2-ry+xy=0\\xy=xr+r^2+ry\\xy=r(x+r+y)

Площа трикутника

S_{ABC}=S_{ABO}+S_{BCO}+S_{ACO}\\S_{ABC}=\frac{1}{2}(x+y)r+\frac{1}{2}(y+r)r+\frac{1}{2}(x+r)r\\S_{ABC}=\frac{1}{2}r(x+y+y+r+x+r)\\S_{ABC}=\frac{1}{2}r(2x+2y+2r)\\S_{ABC}=\frac{1}{2}r\cdot2(x+y+r)\\S_{ABC}=r(x+y+r)\\S=xy

Приложения:
Ответ дал: antonovm
1

Ответ:

...................................................

Объяснение:

Приложения:
Вас заинтересует