• Предмет: Химия
  • Автор: andreidobrorodni09
  • Вопрос задан 2 года назад

Умоляю срочно правильно пж!!!!!!!!!

молекулярная масса ​

Приложения:

Ответы

Ответ дал: dobriakua
1

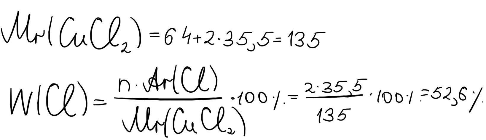
Дано:

CuCl2

Знайти:

ω(Cl) - ?

Розв'язання:

1) Mr(CuCl2) = Ar(Cu) * N(Cu) + Ar(Cl) * N(Cl) = 64 * 1 + 35,5 * 2 = 135;

2) ω(Cl) = N(Cl) * Ar(Cl) * 100% / Mr(CuCl2) = 2 * 35,5 * 100% / 135 = 52,59%.

Відповідь: Масова частка Cl становить 52,59%.


andreidobrorodni09: точно правильно?
Ответ дал: Abubachir555
0

Удачи!!!!!!!!!!!!!!!!!!!!!!!!!

Приложения:
Вас заинтересует