• Предмет: Алгебра
  • Автор: psmetyakushin19
  • Вопрос задан 2 года назад

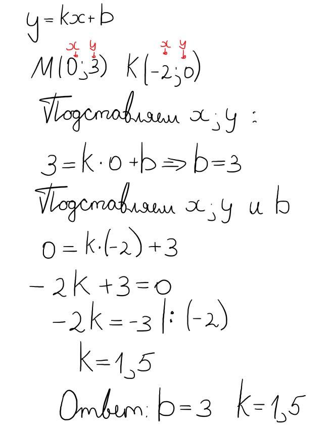
Графік функції у = kx + 6 перетинає осі координат у точках М(0; 3) і К (- 2; 0). Знайдіть значення k і b.

Ответы

Ответ дал: dobra888
1

Відповідь:     k = 1,5 ;   b = 3 .

 

Пояснення:

               у = kx + b ;

    М(0; 3) :     { k*0 + b = 3 ;         ⇒   { b = 3 ;

    К (- 2; 0) :   { k*(- 2 ) + b = 0 ;          { -2k + b = 0 .

 Із другого рівняння  - 2k + 3 = 0 ;  -----> 2k = 3 ;  ----->  k = 1,5 .

     В  -  дь :    k = 1,5 ;   b = 3 .

 

Ответ дал: Abubachir555
0

Удачи!!!!!!!!!!!!!!!!!!!!!!

Приложения:
Вас заинтересует