• Предмет: Алгебра
  • Автор: alinxsiaa171772
  • Вопрос задан 1 год назад

СРОЧНО ПОЖАЛУСТАААААА

Приложения:

Ответы

Ответ дал: aarr04594
1

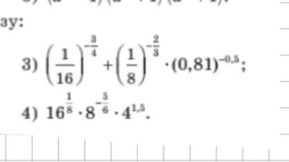
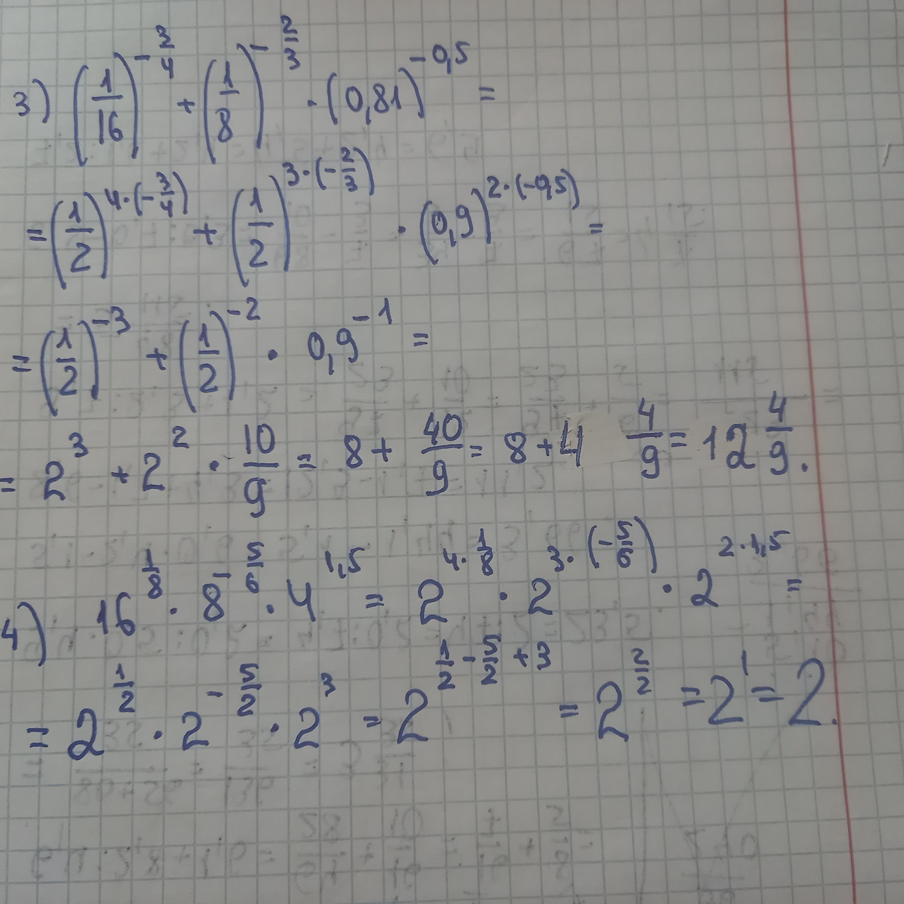
Відповідь: фото.

Пояснення:



Приложения:
Вас заинтересует