• Предмет: Математика
  • Автор: musiienkoivan
  • Вопрос задан 2 года назад

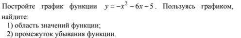
Постройте график функции y=-х2-6х-5. Пользуясь графиком, найдите:
1) область значений функции; 2) промежуток убывания функции.

Приложения:

Ответы

Ответ дал: NNNLLL54
0

Ответ:

Задана функция   \bf y=x^2-6x-5  .

Графиком этой функции является парабола .

Ветви параболы направлены вверх , так как  а = 1 >0 .

Вершина параболы находится в точке  V(  3 ; -14 )  , так как

\bf x_{v}=-\dfrac{b}{2a}=-\dfrac{-6}{2}=3\ \ ,\ \ \ \ y_{v}=y(3)=3^2-6\cdot 3-5=-14  .

Ось симметрии параболы - прямая  х = 3 .

Точка пересечения с осью ОУ - это точка  А( 0 ; -5 ) , так как  у(0) = -5

Точка  В( 4 ; -5 )  симметрична точкe А относительно оси симметрии .

1)  Область значений функции :    \bf y\in (-14\, ;+\infty \, )  .

2)  Промежуток убывания функции :  \bf x\in (-\infty \, ;\ 3\ ]  .  

Приложения:
Вас заинтересует