Ответы
Ответ дал:
1
Ответ:
2) Если поверхность задана уравнением F(x,y,z)=0 (т.е. неявно) , то уравнение касательной плоскости к данной поверхности в точке M₀(x₀,y₀,z₀) можно найти по следующей формуле:
.
Уравнение касательной плоскости в точке М₀ имеет вид :
Уравнение нормали имеет вид : .
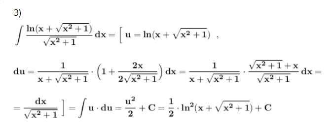
3) Вычисляем интеграл м помощью замены .
Приложения:


fctdgsygfdhngfxzgsac:
NNNLLL54, здравствуйте! у меня в профиле есть вопроси по матрицам, можете помочь пожалуйста?
Вас заинтересует
1 год назад
1 год назад
2 года назад
8 лет назад