• Предмет: Алгебра
  • Автор: fctdgsygfdhngfxzgsac
  • Вопрос задан 2 года назад

що таке головна діагональ матриці та побічна діагональ матриці

Буквально пару речень, без інтернету та ботів. своїми словами і простими словами щоб було якомога зрозуміліше.

і написати до кожно\ діагоналі по 3 приклади з розвязком будь ласка

Ответы

Ответ дал: Alnadya
1

Решение .

Главная диагональ квадратной матрицы состоит из элементов матрицы, расположенных на диагонали , идущих из левого верхнего угла матрицы в правый нижний угол . Её элементы имеют одинаковые номера строк и столбцов :  а₁₁  ,  а₂₂  ,  а₃₃  ,  ...  ,  аₙₙ  .

Побочная  диагональ квадратной матрицы состоит из элементов матрицы, расположенных на второй диагонали , идущих из левого нижнего угла матрицы в правый верхний угол  :  

аₙ₁  ,  а₍ₙ-₁₎₂  ,  а₍ₙ-₂₎₃  ,  ...  ,  а₁ₙ  .

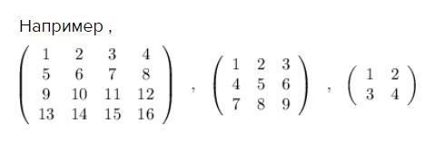
Например ,

\left(\begin{array}{cccc}1&2&3&4\\5&6&7&8\\9&10&11&12\\13&14&15&16\end{array}\right)\ \ ,\ \ \left(\begin{array}{ccc}1&2&3\\4&5&6\\7&8&9\end{array}\right)\ \ ,\ \ \left(\begin{array}{ccc}1&2\\3&4\end{array}\right)            

1 матрица :  главная диагональ состоит из элементов :  1 , 6 , 11 , 16 .

Побочная  диагональ состоит из элементов :  13 , 10 , 7 , 4 .

2 матрица :  главная диагональ состоит из элементов :  1 , 5 , 9  .

Побочная  диагональ состоит из элементов :  7 , 5 , 3 .

3 матрица :  главная диагональ состоит из элементов :  1 , 4 .

Побочная  диагональ состоит из элементов :  3 , 2 .        

Приложения:

fctdgsygfdhngfxzgsac: спасибо большое))
Вас заинтересует