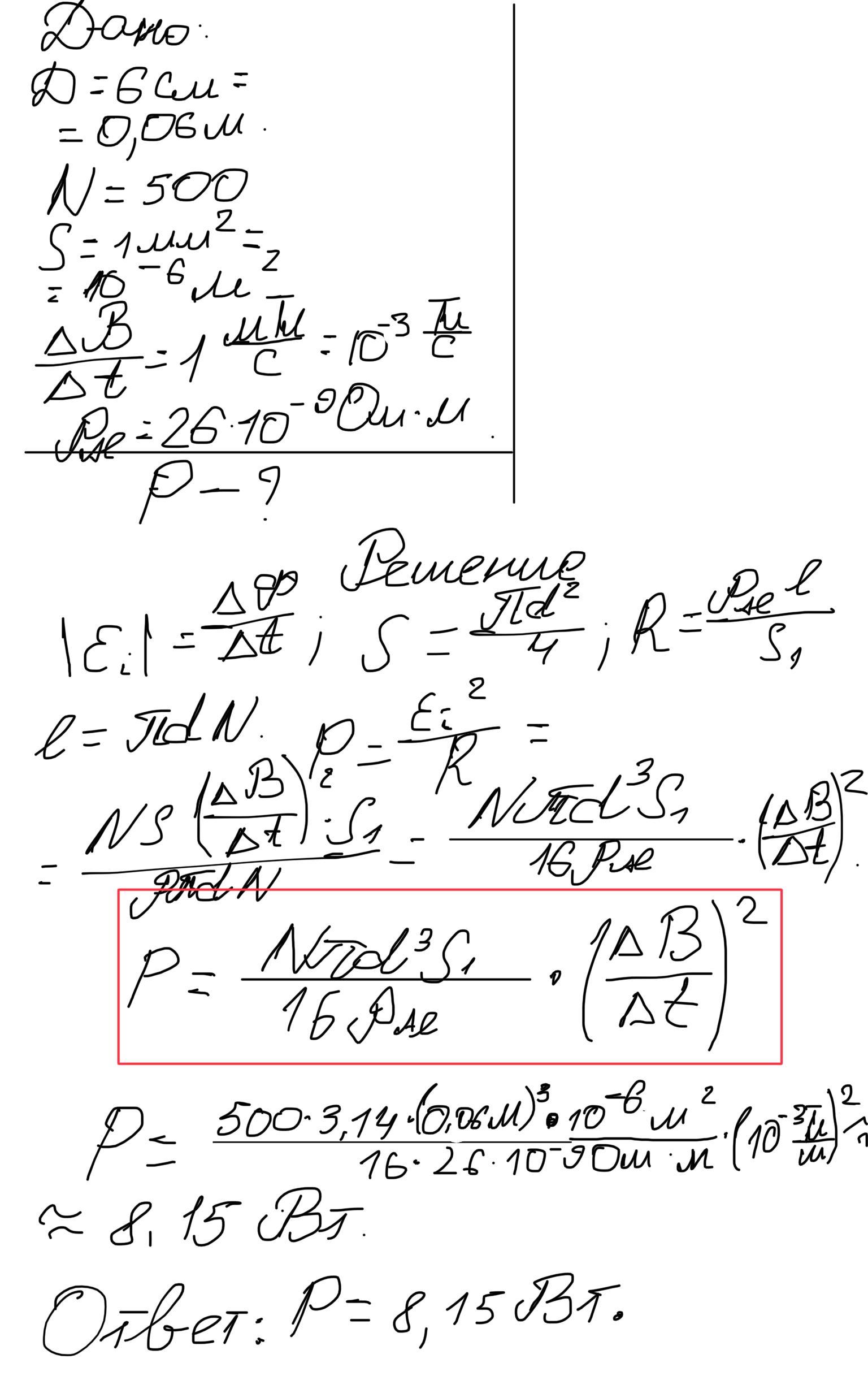
Котушка діаметром 6 см має 500 витків алюмінієвого дроту перерізом 1 мм 2 . Котушка
розташована в однорідному магнітному полі таким чином, що індукція поля напрямлена вздовж
осі котушки та рівномірно змінюється зі швидкістю 1 мТл/с. Кінці котушки замкнуті. Визначте
теплову потужність, що виділяється в котушці.
Ответы
Ответ дал:
3
Ответ:
Объяснение:
Здравствуйте, спасибо за задачу. В этой задаче нам нужно найти тепловую мощность. Давайте приступим к решению. Решение предоставлено на файле прикреплённом ниже. Расчёты были проведены на калькуляторе Casio fx-82ES PLUS. Ответ округлён до сотых.
С уважением, Владимир.
Приложения:

fizikyadershik68:
Здравствуйте, спасибо. С уважением, Владимир.
Вас заинтересует
1 год назад
1 год назад
2 года назад
2 года назад
8 лет назад