• Предмет: Алгебра
  • Автор: Аноним
  • Вопрос задан 2 года назад

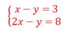
Розв’яжіть систему рівнянь

Приложения:

Ivankukolka: Сложно решить, но если в голове сделать то х=5, y=2

Ответы

Ответ дал: volna7
2

Відповідь:

Х = 5

У = 2

Пояснення:

Х - У = 3 ( 1 )

2Х - У = 8 ( 2 )

З рівняння ( 2 ) вичтемо рівняння ( 1 ):

2Х - У = 8

-

Х - У = 3

------------

2Х - Х - У - ( -У ) = 8 - 3

Х = 5

Підставимо Х = 5 до рівняння ( 1 ):

5 - У = 3

У = 5 - 3

У = 2


volna7: Нема ніяких боржників, тут кожен кожному допомагає. Та окрім "Дякую" нічого не вимагає. :)
Ответ дал: iramazurk
2

Ответ:

(5; 2)

Объяснение:

{х - у = 3

{2х - у = 8

{х = 3 + у

{2х - у = 8

1)

2х - у = 8

2(3 + у) - у = 8

6 + 2у - у = 8

2у - у = 8 - 6

у = 2

2)

х = 3 + у

х = 3 + 2

х = 5

Вас заинтересует