• Предмет: Алгебра
  • Автор: Zhekijan
  • Вопрос задан 2 года назад

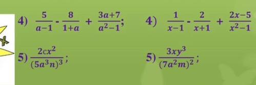
Хелп срочно!!!! 20 баллов помогите

Приложения:

viktoria123one: пон

Ответы

Ответ дал: viktoria123one
0

Ответ:

можете сказать автора книги


Zhekijan: Не скажу, учитель скрин кинул
Вас заинтересует