• Предмет: Математика
  • Автор: vany4beats
  • Вопрос задан 2 года назад

Помогите решить задачу по математике

Приложения:

Ответы

Ответ дал: ildar502020
0

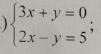
Ответ:   (1; -3).

Пошаговое объяснение:

3x+y=0;                 (1)

2x-y=5.                  (2)

Система

Складываем (1) и (2):

3x+2x=0+5  (y+(-y)=0);

5x=5;

x=1. Подставляем в (2)  (или в (1)):

2*1-y=5;

-y=5-2;

-y=3;

y=-3.

Вас заинтересует