• Предмет: Алгебра
  • Автор: cifromag553266
  • Вопрос задан 1 год назад

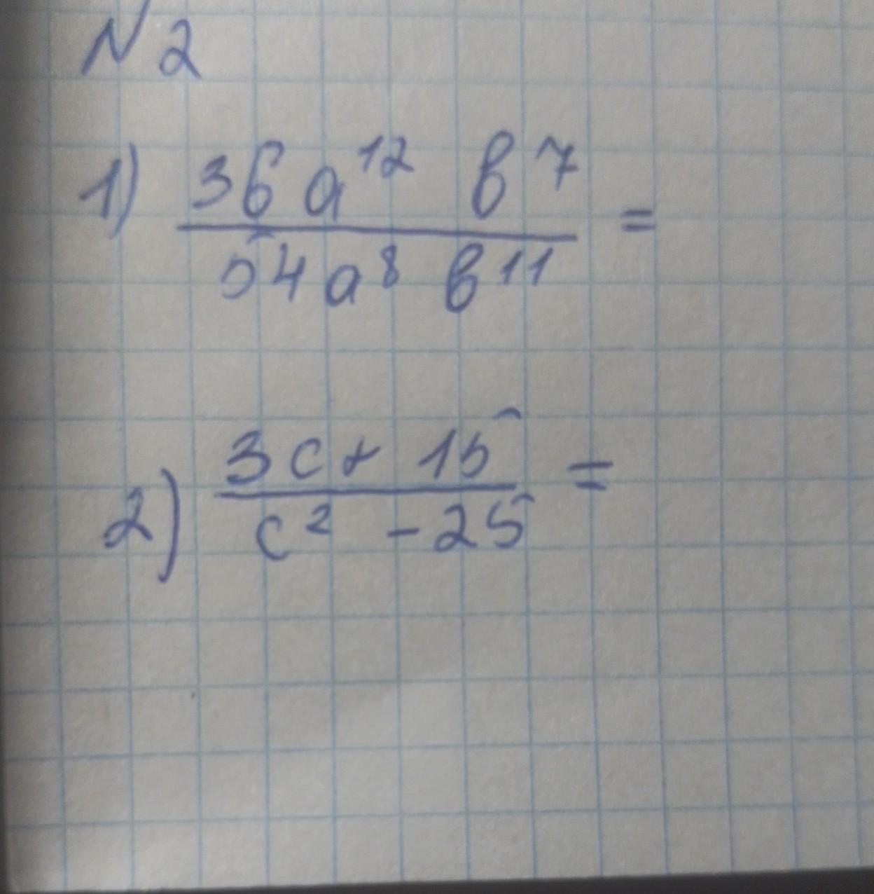
люди добрые помогите пожалуйста!!!!Нужно сократить ​

Приложения:

Ответы

Ответ дал: Universalka
1

\displaystyle\bf\\1)\\\\\frac{36a^{12} b^{7} }{54a^{8} b^{11} } =\frac{18\cdot 2\cdot a^{8} \cdot a^{4} \cdot b^{7} }{18\cdot 3\cdot a^{8} \cdot b^{7} \cdot b^{3} } =\frac{2a^{4} }{3b^{3} } \\\\2)\\\\\frac{3c+15}{c^{2} -25} =\frac{3\cdot(c+5)}{c^{2} - 5^{2} } =\frac{3\cdot(c+5)}{(c-5)\cdot(c+5)} =\frac{3}{c-5}


cifromag553266: СПАСИБО ВАМ ДОБРЫЙ ЧЕЛОВЕК!!
Universalka: Пожалуйста . Всегда рада помочь .
Вас заинтересует