• Предмет: Математика
  • Автор: ThomasShelby21
  • Вопрос задан 2 года назад

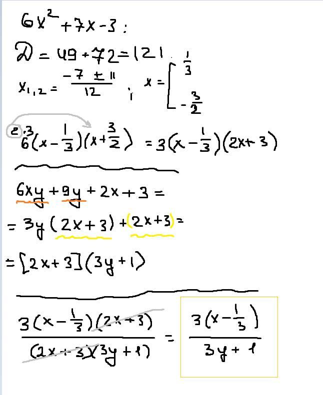
Решите, За Спам-БАН.

Приложения:

Ответы

Ответ дал: cor1eone
1

Доброго времени суток. Решение во вложении

Приложения:

ThomasShelby21: Идеально
ThomasShelby21: Вы можете решить мои последние задачи пожалуйста буду благодарен.
Вас заинтересует