• Предмет: Алгебра
  • Автор: hassnsans
  • Вопрос задан 2 года назад

ДАЮ ЛУЧШИЙ ОТВЕТ
ПОМОГИТЕ ПОЖАЛУЙСТА
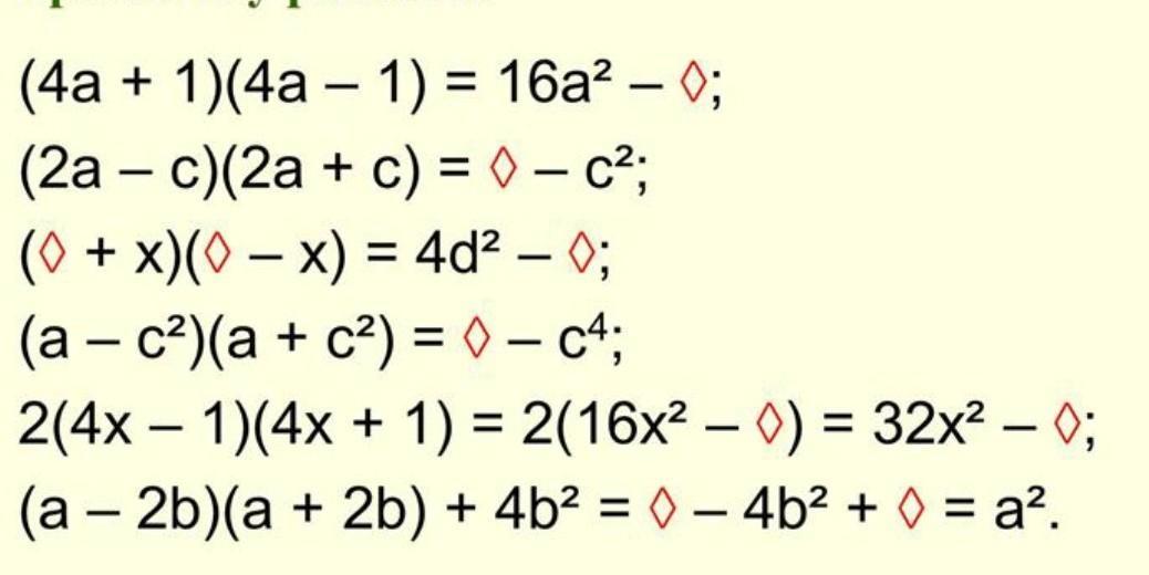
Вписати пропущені вирази, щоб отримати правильну рівність:​

Приложения:

Ответы

Ответ дал: mEomEvvv
0

Відповідь:

Пояснення:

1

4а^2

2d,2d,c^2

a^2

1,2(тут кома,2 різних ромбика)

a^2,+4b^2

тут я писала тільки те,що треба вставити замість червоних ромбиків в стовпчик,(^2-це квадрат)

Сподіваюся все зрозуміло))

Ответ дал: Аноним
1

Ответ:

на фото

Объяснение:

на фото

*формула різниці квадратів* a^2-b^2 = (a-b)*(a+b)

Приложения:
Вас заинтересует