Ответы
Ответ дал:
1
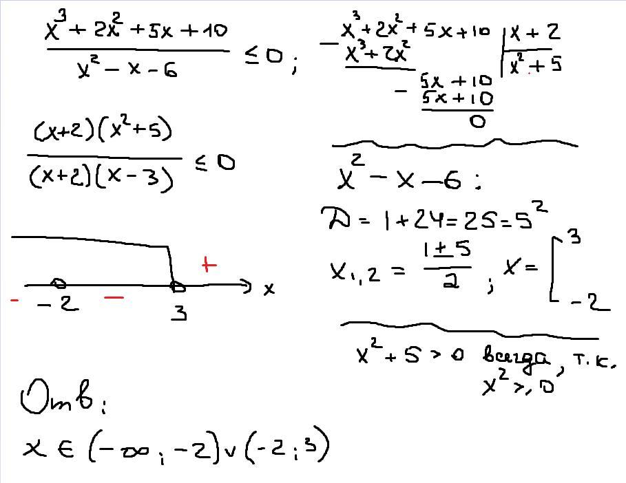
Доброго времени суток. Решение во вложении
Приложения:

kotik12345678953:
дякую за рішення
Вас заинтересует
1 год назад
1 год назад
1 год назад
2 года назад
2 года назад
8 лет назад
8 лет назад