• Предмет: Химия
  • Автор: bogdanpron2009
  • Вопрос задан 2 года назад

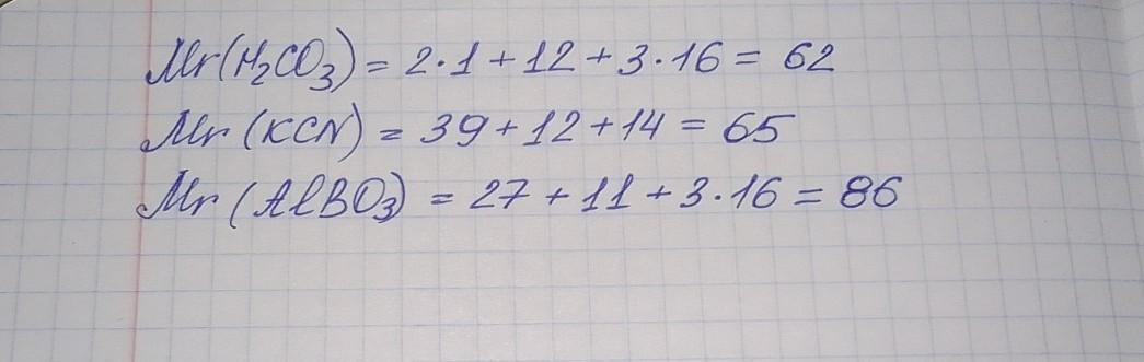
Визначити молекулярні маси речовин. H2CO3, КCN, AlBO3

Ответы

Ответ дал: unezhewaoxnw6u
0

Объяснение:

Визначити молекулярні маси речовин. H2CO3, КCN, AlBO3

Приложения:
Ответ дал: dobriakua
0

Mr(H2CO3) = Ar(H) * N(H) + Ar(C) * N(C) + Ar(O) * N(O) = 1 * 2 + 12 * 1 + 16 * 3 = 62;

Mr(KCN) = Ar(K) * N(K) + Ar(C) * N(C) + Ar(N) * N(N) = 39 * 1 + 12 * 1 + 14 * 1 = 65;

Mr(AlBO3) = Ar(Al) * N(Al) + Ar(B) * N(B) + Ar(O) * N(O) = 27 * 1 + 11 * 1 + 16 * 3 = 86.

Вас заинтересует