• Предмет: Математика
  • Автор: valeripodol
  • Вопрос задан 2 года назад

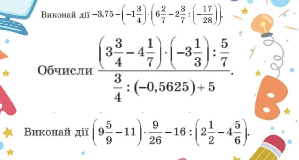
ПОМОРИТЕЕЕ ПЖЖЖ ДАЮ 20 БАЛОВ!!!!!!​

Приложения:

Ответы

Ответ дал: umidasermatova
0

Ответ:

Пошаговое объяснение:

Приложения:
Вас заинтересует