Ответы
Ответ дал:
0
Ответ:
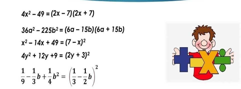
як же довго я це писала:)
Приложения:

Вас заинтересует
1 год назад
1 год назад
2 года назад
2 года назад
8 лет назад