Ответы
Ответ дал:
1
Ответ:
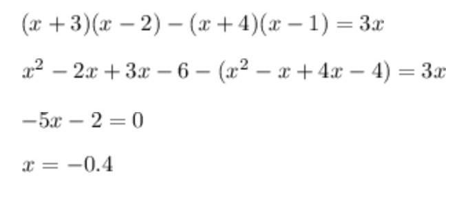
(x + 3)(x-2) - (x+4)(x-1)=3x
Приложения:

Вас заинтересует
1 год назад
1 год назад
1 год назад
1 год назад
2 года назад
8 лет назад