• Предмет: Математика
  • Автор: maksimkoroll24
  • Вопрос задан 2 года назад

Помогите подалуйста, очень надо и розпишити его
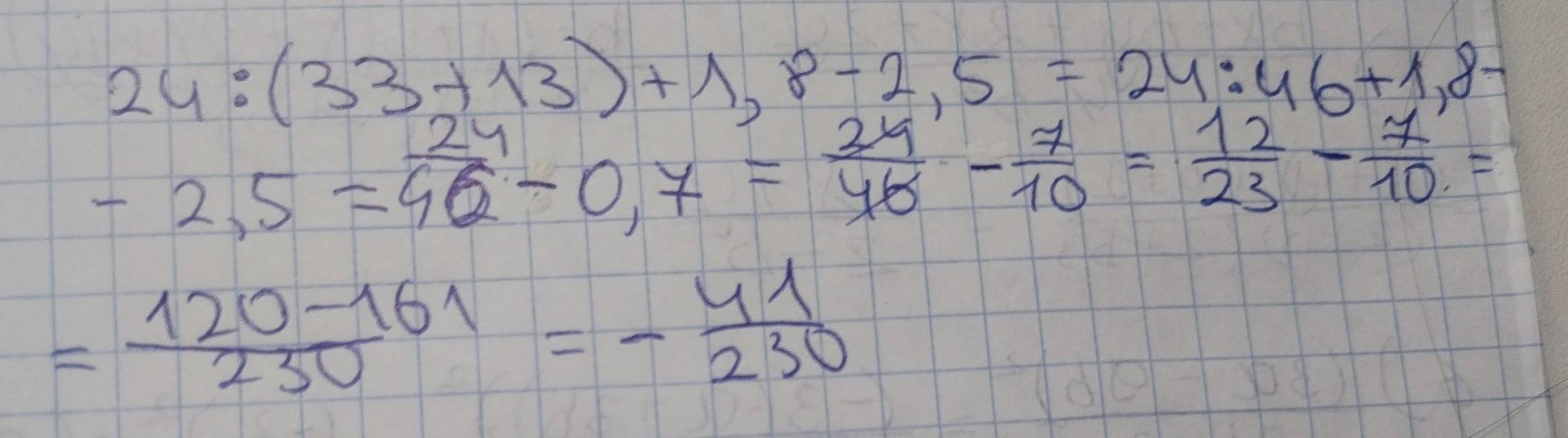
24: (33+13) + 1,8-2,5.

Ответы

Ответ дал: ntop0067
0

Ответ:

-41/230

Пошаговое объяснение:

1. складываем то что в скобках

2.вычитаем 1,8-2,5, получится -0,7

3. 24:46 пишем дробью 24/46 и сокращаем её , получится 12/23

4. -0,7 записываем как дробь, получится -7/10

5. вычитаем 12/23- 7/10, получается -41/230

Приложения:
Вас заинтересует