• Предмет: Алгебра
  • Автор: oywa0609
  • Вопрос задан 1 год назад

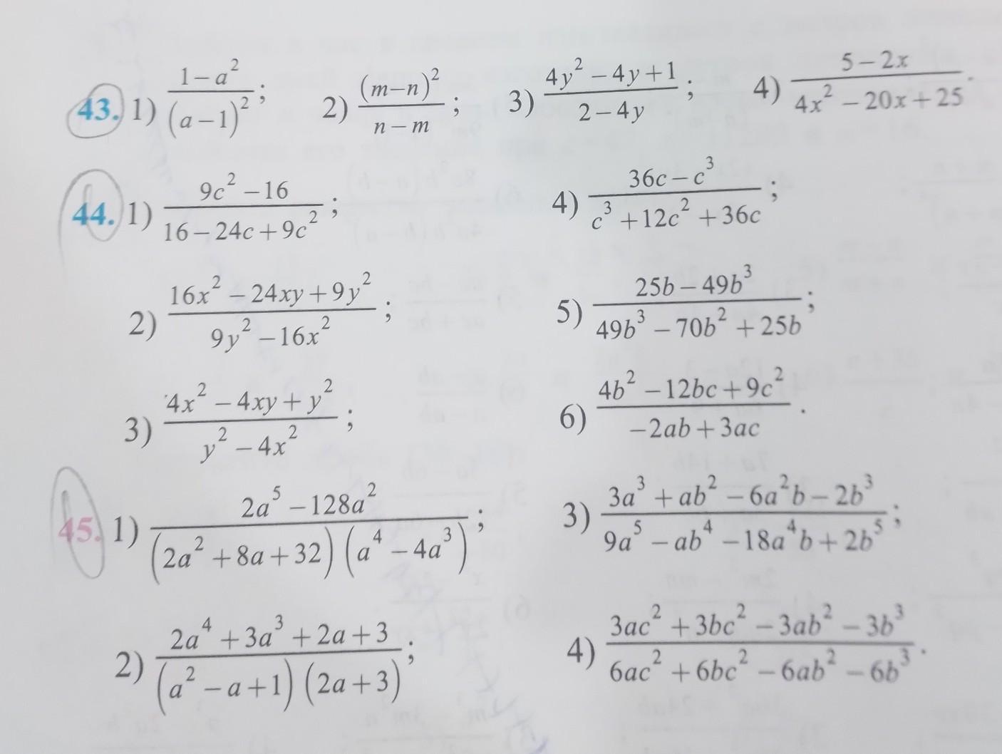
1-a² 43.1) (a-1)² 44. 1) 2) 3) 45. 1) 2) 9c²-16 16-24c+9c² 2 2) 2 4x² - 4xy + y y ; 16x² - 24xy+9y² 9y²-16x² - 4xy + y² -4x² 2 (m-n)². n-m ; 2a³-128a² 3 2a²+8a+32) (a²-4a³) 2aª +3a³+2a+3 (a²-a+1) (2a+3) 3) 4y²-4y+1; ; 2-4y 36c-c³ 4) ²³ +12c² +36c 3 256-496³ 5) 496³ — 706² +256 6) 4)1 4) 4) 5-2x 4x²-20x-25 46²-12bc+9c² -2ab-3ac 3a³+ab²-6a²b-26³ 3) ³) 9a² _ab²_18a+b+26² 9a³-ab-18a*b+265 3ac² +3bc²-3ab²-36³ 6ac² +6bc²-6ab² - 6b​

Приложения:

Ответы

Ответ дал: yarosyrafysport
2

1. a² - 4:

- Это разность квадрата числа a и числа 4.

- a² - 4 = (a + 2)(a - 2)

- Результат - разложение разности квадратов.

2. (a - 1)²:

- Это квадрат разности числа a и числа 1.

- (a - 1)² = a² - 2a + 1

- Результат - квадрат разности.

3. 9c² - 16:

- Это разность квадрата числа 3c и квадрата числа 4.

- 9c² - 16 = (3c + 4)(3c - 4)

- Результат - разложение разности квадратов.

4. 4x² - 4xy + y²:

- Это квадрат бинома (2x - y).

- 4x² - 4xy + y² = (2x - y)²

- Результат - квадрат бинома.

5. 9y² - 16x² - 4xy + y² - 4x²:

- Сначала объединим подобные члены:

- 9y² - 16x² - 4xy + y² - 4x² = 10y² - 20x² - 4xy

- Теперь можно попробовать факторизировать это уравнение, но оно не имеет тривиальных множителей, поэтому оставляем его в данном виде.

6. (m - n)² / (n - m):

- Сначала упростим знаменатель (n - m), поменяв знаки:

- (m - n)² / (n - m) = (m - n)² / -(m - n)

- Знак минус можно вынести за пределы дроби:

- -(m - n)² / (m - n)

- Теперь можно упростить дробь, убрав общий множитель (m - n):

- -(m - n)

7. 2a³ - 128a²:

- Это разность двух кубов 2a³ и 128a².

- 2a³ - 128a² = 2a²(a - 64)

- Результат - разложение разности кубов.

8. 2a² + 8a + 32:

- Это сумма трех слагаемых.

- 2a² + 8a + 32 = 2(a² + 4a + 16)

- Результат - вынесение общего множителя 2 из всех слагаемых.

9. (a² - 4a³) / (2aª + 3a³ + 2a + 3):

- В данном случае можно упростить выражение, выделив общий множитель в числителе и знаменателе:

- (a² - 4a³) / (2aª + 3a³ + 2a + 3) = a²(1 - 4a) / a(2 + 3a + 2) = a²(1 - 4a) / a(5 + 3a)

- Результат - упрощение дроби.

10. 4y² - 4y + 1 / 2 - 4y:

- Для упрощения этой дроби можно вынести общий множитель (4y) из числителя:

- 4y² - 4y + 1 / 4y(1 - 1)

- Результат - упрощение дроби.

11. 36c - c³:

- Здесь можно вынести общий множитель c:

- c(36 - c²)

- Результат - вынесение общего множителя c.

12. 2³ + 12c² + 36c:

- Это сумма трех слагаемых.

- 2³ + 12c² + 36c = 8 + 12c² + 36c

- Результат - сложение чисел.

13. 256 - 496³:

- Просто вычисляем разность чисел:

- 256 - 496³ = -115413248

14. 496³ - 706² + 256:

- Просто вычисляем сумму чисел:

- 496³ - 706² + 256 = 115413248 - 499236 + 256 = 115912268

15. 5 - 2x / 4x² - 20x - 25:

- Сначала упростим числитель:

- 5 - 2x = -2x + 5

- Теперь можем рассмотреть знаменатель:

- 4x² - 20x - 25 = (2x - 5)(2x + 5)

- Теперь можно сократить дробь, деля числитель и знаменатель на общий множитель (2x - 5):

- (-2x + 5) / (2x - 5)

16. 46² - 12bc + 9c² - 2ab - 3ac:

- Это сумма разных слагаемых:

- 46² - 12bc + 9c² - 2ab - 3ac

17. 3a³ + ab² - 6a²b - 26³:

- Это сумма разных слагаемых:

- 3a³ + ab² - 6a²b - 26³

18. 3ac² + 3bc² - 3ab² - 36³:

- Это сумма разных слагаемых:

- 3ac² + 3bc² - 3ab² - 36³


oywa0609: спасибо
Вас заинтересует