• Предмет: Алгебра
  • Автор: iyudakov2010
  • Вопрос задан 2 года назад

СРОЧНО №1 Група із 46 туристів і туристок вирушила в похід на 10 човнах, частина з яких були чотиримісними, а решта шестимісними. Скільки було човнів кожного виду? (Умова,система, та розвʼязання)
№2. За 11 зошитів і 8 ручок заплатили 49 грн. Скільки коштує 1 зошит і скільки — 1 ручка, якщо 5 зошитів дорожчі за 4 ручки на 7 грн?
(Теж умова,система та розвʼязання )
№3. ° Із Києва й Вінниці, відстань між якими 256 км, виїхали одночасно назустріч один одному автобус і автомобіль, які зустрілися через 2 год після початку руху. Знайдіть швидкість кожного з них, якщо автобус за 2 год проїжджає на 46 км більше, ніж автомобіль за 1 год.
(Тут треба скласти умову та систему але не розвʼязувати її) дякую за допомогу :)

Ответы

Ответ дал: oleksaoleksei02
1

Відповідь:

Пояснення:

1) Нехай х - кількість чотиримісних човнів, а у - шестимісні. Тоді х + у = 10 човнів, а 4 * х + 6 * у = 46 туристів.

Складемо систему рівнянь.

х + у = 10

4х + 6У = 46

Вирішимоь методом складання:

х + у = 10 (* -4)

4х + 6У = 46

+ (- 4х) -4у = -40

4х + 6У = 46

(-4х +4 х) + (- 4у + 6У) = - 40 + 46

2у = 6

у = 6: 2

у = 3

Підставами значення х в перше рівняння:

х + у= 10

х + 3 = 10

х = 10-3

х = 7

Відповідь: кількість шестимісні човнів 3, а чотиримісних човнів дорівнює 7.

2)

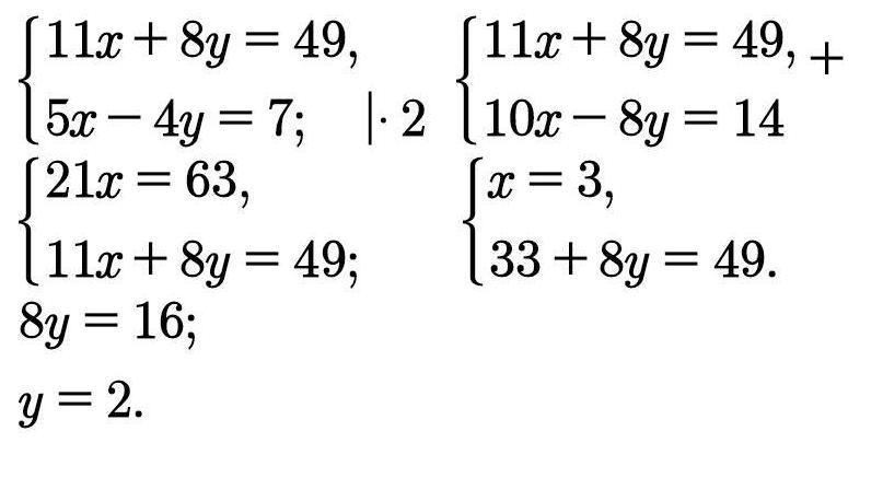
Нехай зошит коштує х грн, ручка - у грн. За умовою складаємо систему. Розв'язавши її, отримуємо, що х = 3 грн - ціна одного зошита, у = 2 грн - ціна однієї ручки

Складемо систему рівнянь(фото)

3)

х - швидкість автобусу;

у - швидкість автомобілю

/2*х-46=1*у

\2*(х+у)=256  

/2х-46=у

\2х+2у=256  

Значення х з першого рівняння підставляємо у друге та вирішуємо його:

2х+2(2х-46)=256

2х+4х-92=256

6х=256+92

6х=348

х=348:6

х= 58км/год -  швидкість автобусу

2х-46=у

2*58-46=у

у=116-46

у=70 км/год - швидкість автомобілю

Приложения:

oleksaoleksei02: МОЖНА КРАЩУ ВІДПОВІДЬ БУДЬ ЛАСКА :)
iyudakov2010: Велике дякую
Вас заинтересует