• Предмет: Алгебра
  • Автор: veronikanuzhnyk
  • Вопрос задан 2 года назад

допоможіть будь ласка!!!​

Приложения:

Ответы

Ответ дал: NNNLLL54
1

Ответ:

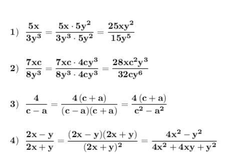
Привести дроби к указанному знаменателю . Для этого применяем основное свойство дроби .  Применяем формулы разности квадратов и квадрата суммы .

\displaystyle \bf 1)\ \ \frac{5x}{3y^3}=\frac{5x\cdot 5y^2}{3y^3\cdot 5y^2}=\frac{25xy^2}{15y^5}\\\\\\2)\ \ \frac{7xc}{8y^3}=\frac{7xc\cdot 4cy^3}{8y^3\cdot 4cy^3}=\frac{28xc^2y^3}{32cy^6}\\\\\\3)\ \ \frac{4}{c-a}=\frac{4\, (c+a)}{(c-a)(c+a)}=\frac{4\, (c+a)}{c^2-a^2}\\\\\\4)\ \ \frac{2x-y}{2x+y}=\frac{(2x-y)(2x+y)}{(2x+y)^2}=\frac{4x^2-y^2}{4x^2+4xy+y^2}

Приложения:

alice12324: Сторона правильной треугольной призмы равна 8 см. через сторону основания призмы проведено сечение, которое образует уго...
https://znanija.com/task/53373815?utm_source=android&utm_medium=share&utm_campaign=question
alice12324: посмотрите пожалуйста этот вопрос
rimi76: помоги пожалуйста https://znanija.com/task/53373534
Вас заинтересует