Ответы
Ответ дал:
1
Объяснение:
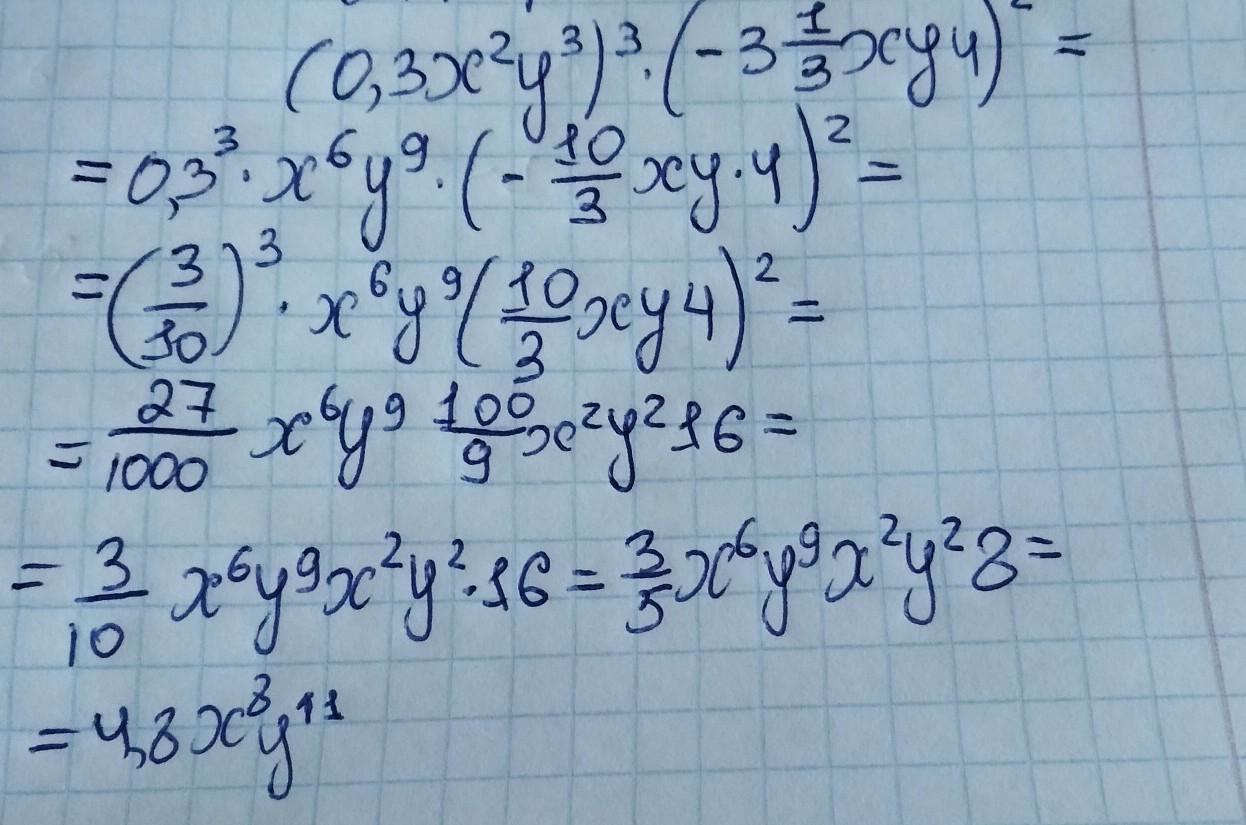
на фотографии .........
Приложения:

kuznietsova042020:
спасибо большое
Вас заинтересует
1 год назад
1 год назад
1 год назад
1 год назад
8 лет назад