• Предмет: Физика
  • Автор: prostodoshirak
  • Вопрос задан 1 год назад

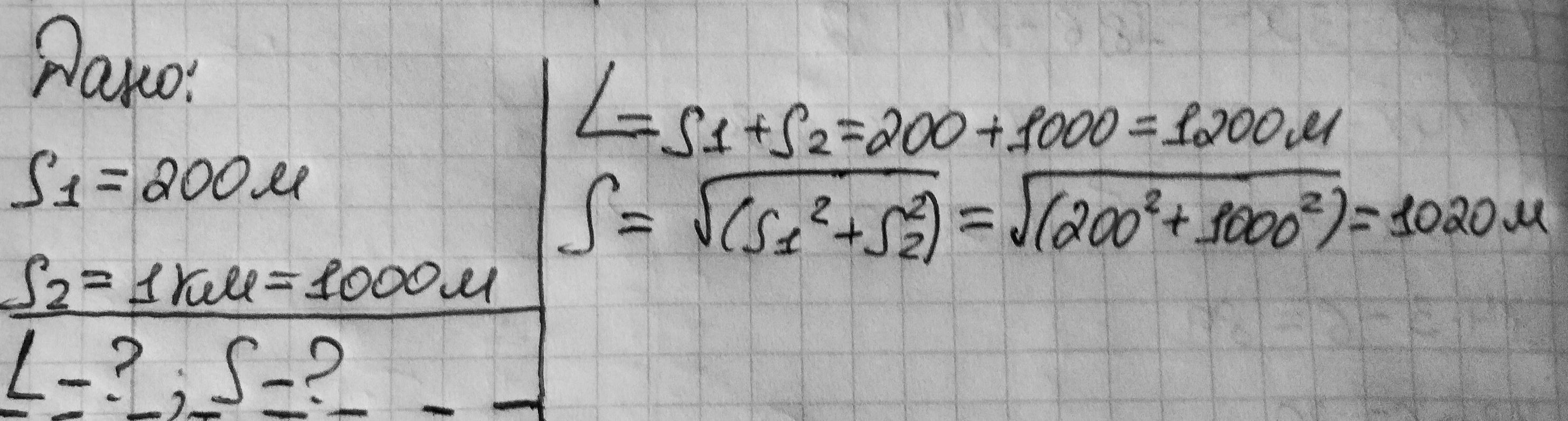
Катер проплив в північно-східному напрямку 200 м а потім ще 1 км на північ. Визначте переміщення та шлях який подолав катер.​

Ответы

Ответ дал: 1Manka1
1

Ответ:

Объяснение:

на фото

Приложения:
Вас заинтересует