Ответы
Ответ дал:
0
Ответ:
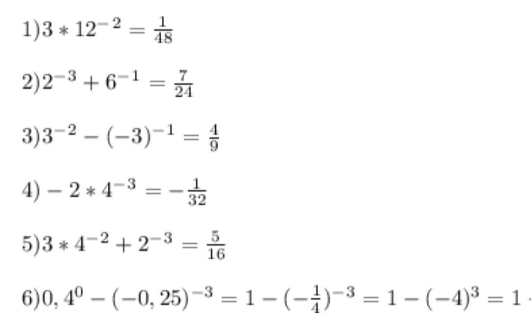
Объяснение: Ответ ниже на фотографии:
Приложения:

Вас заинтересует
1 год назад
1 год назад
1 год назад
1 год назад
2 года назад
2 года назад
8 лет назад