• Предмет: Алгебра
  • Автор: samorodovavika032
  • Вопрос задан 2 года назад

Срочно пожалуйста, дам 30 ббалов ​

Приложения:

Ответы

Ответ дал: talgatovaaalua
2

Ответ:

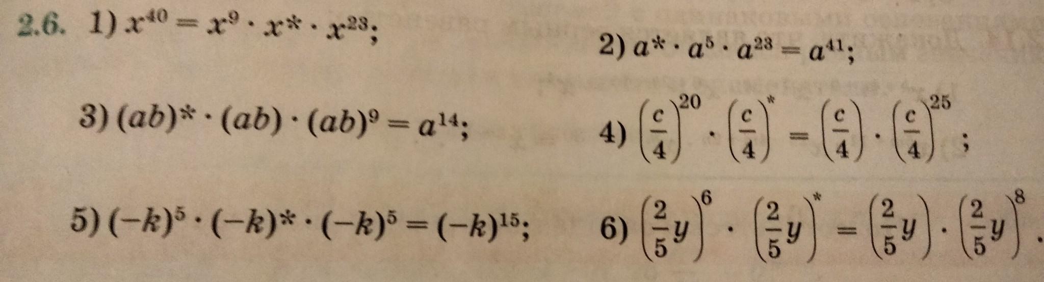
1. x⁴⁰=x⁹•x⁸•x²³

2. a¹³•a⁵•a²³=a⁴¹

3. (ab)⁴•(ab)•(ab)⁹=a¹⁴

4. (c/4)²⁰•(c/4)⁶=(c/4)•(c/4)²⁵

5. (-k)⁵•(-k)⁵•(-k)⁵=(-k)¹⁵

6. (2/5y)⁶•(2/5y)³=(2/5y)•(2/5y)⁸

Вас заинтересует