• Предмет: Алгебра
  • Автор: brawl2554
  • Вопрос задан 2 года назад

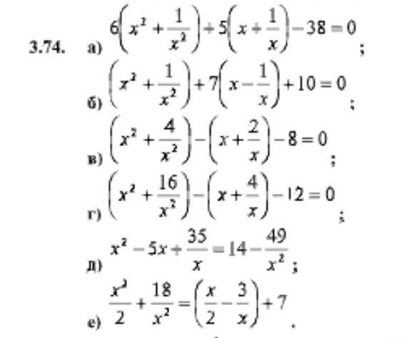
помогите решить 1 пример​

Приложения:

Ответы

Ответ дал: Simba2017
1

x+1/x=t

x²+1/x²=t^2-2

6(t^2-2)+5t-38=0

6t^2+5t-50=0

D=25-4*(-50)*6=1225=35^2

t1=(-5+35)/12=30/12=15/6;  

x+1/x=15/6-домножу все на 6х

6x²+6=15x

6x^2-15x+6=0

D=225-144=81=9²

x1=(15-9)/12=1/2; x2=(15+9)/12=2

t2=(-5-35)/12=-40/12=-10/3

x+1/x=-10/3-умножу все на 3х

3x²+3=-10x

3x²+10x+3=0

D=100-36=64=8²

x3=(-10-8)/6=-3; x4=(-10+8)/6=-1/3

Вас заинтересует