• Предмет: Математика
  • Автор: atabaevozod2
  • Вопрос задан 1 год назад

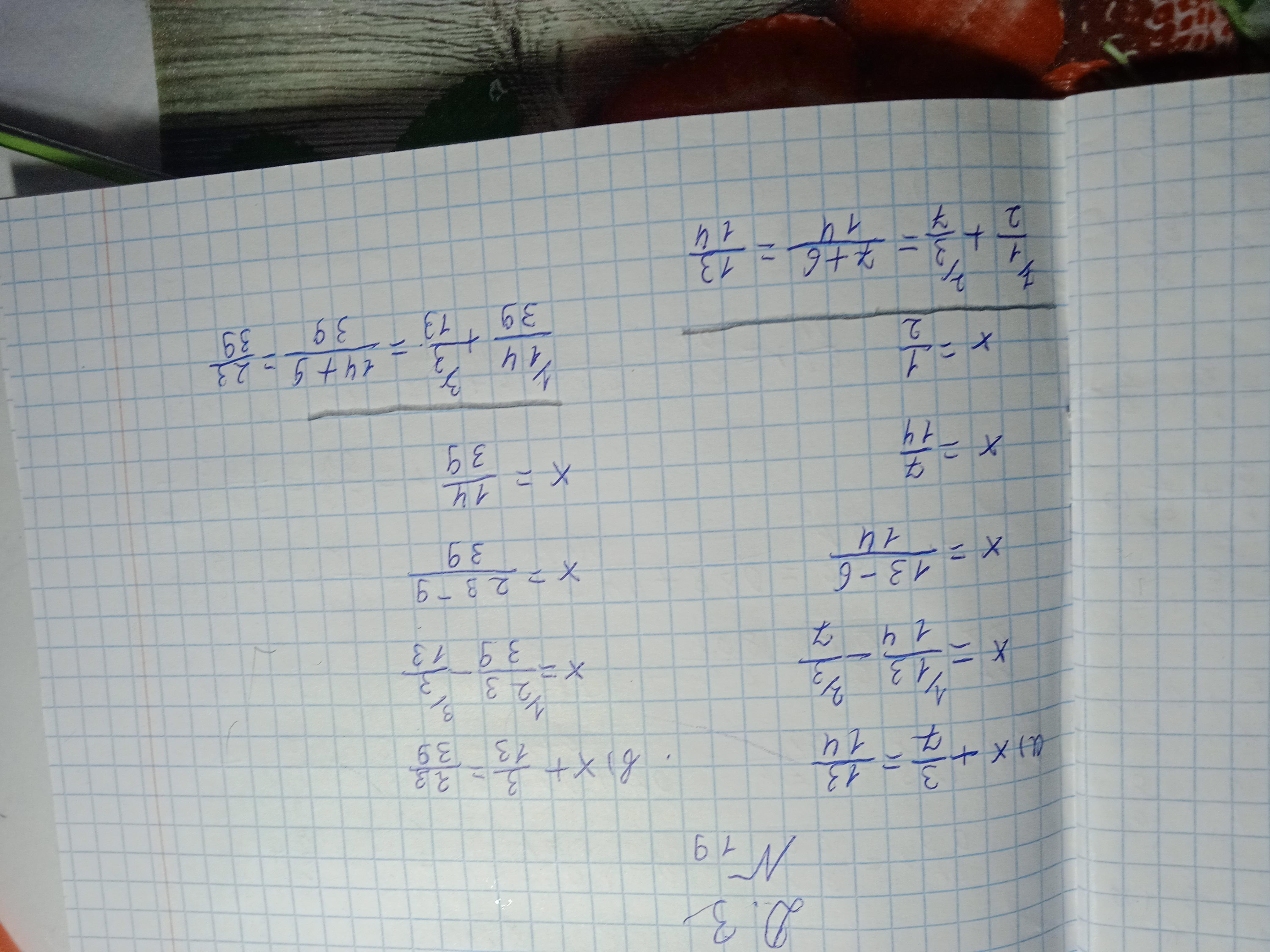
решите уравнения: х+3/7=13/14, х+3/13=23/39, 7/15+х=29/45, 11/16+х=57/64. это дроби. Помогите ПЛИЗЗЗЗ!!!

Ответы

Ответ дал: krasnopolskaakira
80

Ответ:

Пошаговое объяснение:

Приложения:

Аноним: I ❤️ U ♡
Аноним: I ❤️ U ♡
Аноним: I ❤️ U ♡
Аноним: I ❤️ U ♡
Аноним: I ❤️ U ♡
krasnopolskaakira: Спасибо
dor50: чЕЛ ТЫ ЛУТШИЙ СПС
odilova1958: Спасибо
odilova1958: С 18 поможешь
odilova1958: ‍❤️‍
Вас заинтересует