• Предмет: Алгебра
  • Автор: bbdll
  • Вопрос задан 2 года назад

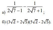
Выяснить каким числом, рациональным или иррациональным является число:

Приложения:

Ответы

Ответ дал: liftec74
0

Ответ:

Объяснение:

\frac{1}{2\sqrt{7}-1} -\frac{1}{2\sqrt{7}+1} = \frac{2\sqrt{7}+1 -2\sqrt{7}+1}{(2\sqrt{7}-1)(2\sqrt{7}+1)} = \frac{2}{4*7-1} = \frac{2}{27}

2/27- число рациональное

(3√2+2√5)(5√2-2√5)= 15*2-6√10+10√10-4*5 =30+4√10-20 =10+4√10- число иррациональное

Вас заинтересует