• Предмет: Алгебра
  • Автор: Nolfast
  • Вопрос задан 2 года назад

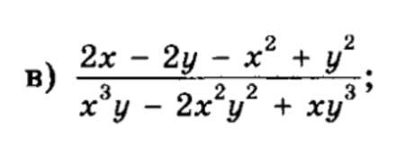
сократить дробь 7-8класс 50 баллов

Приложения:

Аноним: напишіть свій інст, там допоможу з вирішенням

Ответы

Ответ дал: zxcmiksa
0

Объяснение:

думаю почерк понятный ........

Приложения:
Ответ дал: akbopeserikhankyzy
0

Ответ:

это правильный ответ

Объяснение:

точно так же должен списать броо

Приложения:
Вас заинтересует