Ответы
Ответ дал:
1
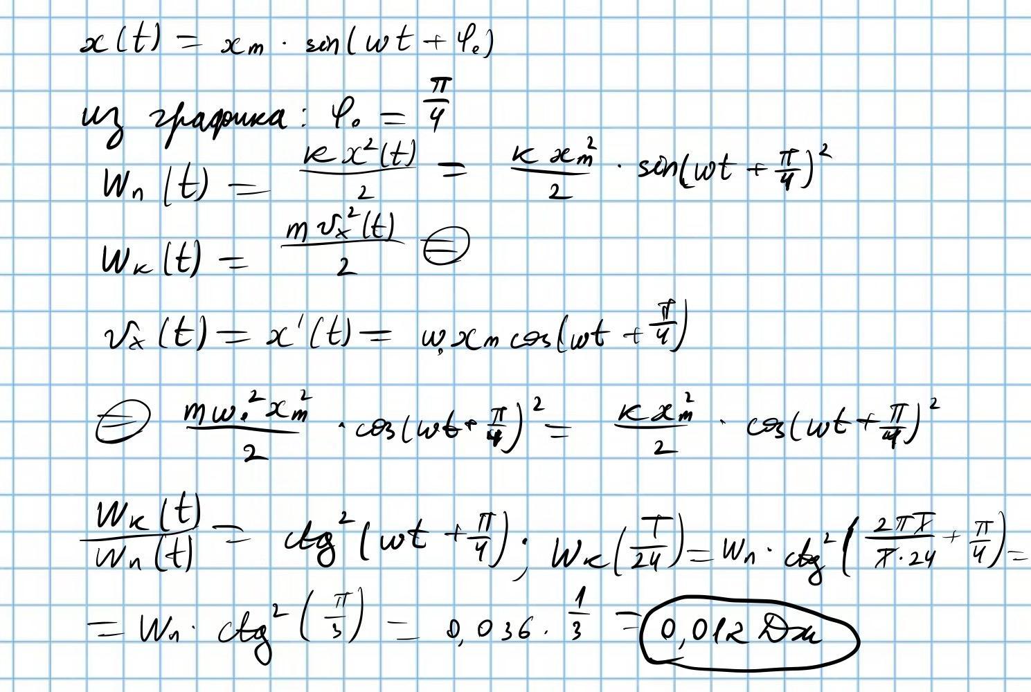
Ответ:см вложение…………….
Приложения:

soniakri2000:
О боже,гений физики,благодарю от всего сердца!!
Вас заинтересует
1 год назад
1 год назад
2 года назад
2 года назад
8 лет назад
8 лет назад