• Предмет: Математика
  • Автор: Lovexxz
  • Вопрос задан 2 года назад

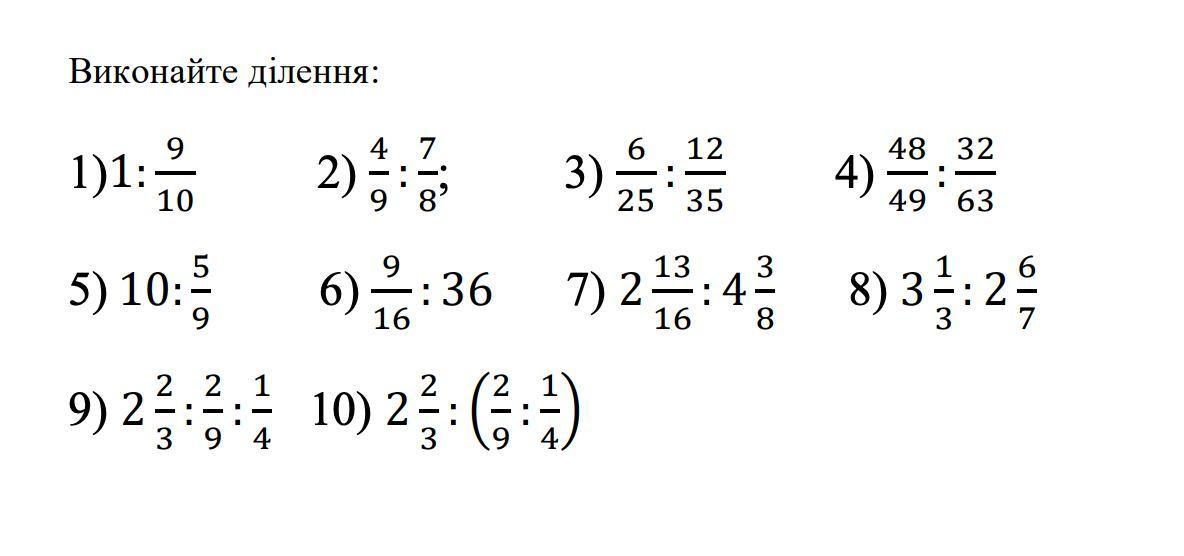
помогите с вправами 7, 8, 9, 10 пожалуйста

Приложения:

Ответы

Ответ дал: zhalimaaa
1

Ответ:

7)9/14;8)7/6;9)48;10)3

Приложения:
Ответ дал: vidmira46
1

Ответ:

7. 2 13/16:4 3/8 = 45/16:35/8=45/16•8/35=9/2•1/7=9/14

8. 3 1/3:2 6/7= 10/3:20/7=10/3•7/20=1/3•7/2=7/6

9. 2 2/3:2/9:1/4= 8/3:2/9:1/4=8/3•9/2•4=4•3•4=48

10.2 2/3:(2/9:1/4)=8/3:(2/9•4)=8/3:8/9=8/3:9/8=3

Вас заинтересует