• Предмет: Алгебра
  • Автор: legendachmo
  • Вопрос задан 2 года назад

Хелп паже!!!!!!!!!!!!!!!

Приложения:

Ответы

Ответ дал: vladosig2008
1

Ответ:

0,4.

Объяснение:

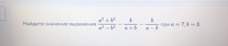
(a²+b²) / (a²-b²) - b/(a+b) - b/(a-b) =

Вспоминаем формулу разности квадратов

a²-b² = (a-b)(a+b)

Применяем формулу к знаменателю первой дроби. Вторую дробь домножаем на (a-b), а третью на (a+b))

(a²+b²) / (a-b)(a+b) - b(a-b) / (a-b)(a+b) - b(a+b) / (a-b)(a+b) =

Раскрываем скобки в числителях и приводим к общему знаменателю

(a²+b²-ab+b²-ab-b²)/(a-b)(a+b) = (a²-2ab+b²)/(a-b)(a+b)

Вспоминаем формулу квадрата разности

(a-b)² = a²-2ab+b²

Применяем к числителю дроби

(a-b)² / (a-b)(a+b) =

Сокращаем по (a-b)

(a-b) / (a+b) =

Подставляем числа (a=7, b=3)

(7-3) / (7+3) = 4/10 = 0,4


legendachmo: Ооо спасибо
Вас заинтересует