• Предмет: Геометрия
  • Автор: kata88333
  • Вопрос задан 1 год назад

Помогите пожалуйста

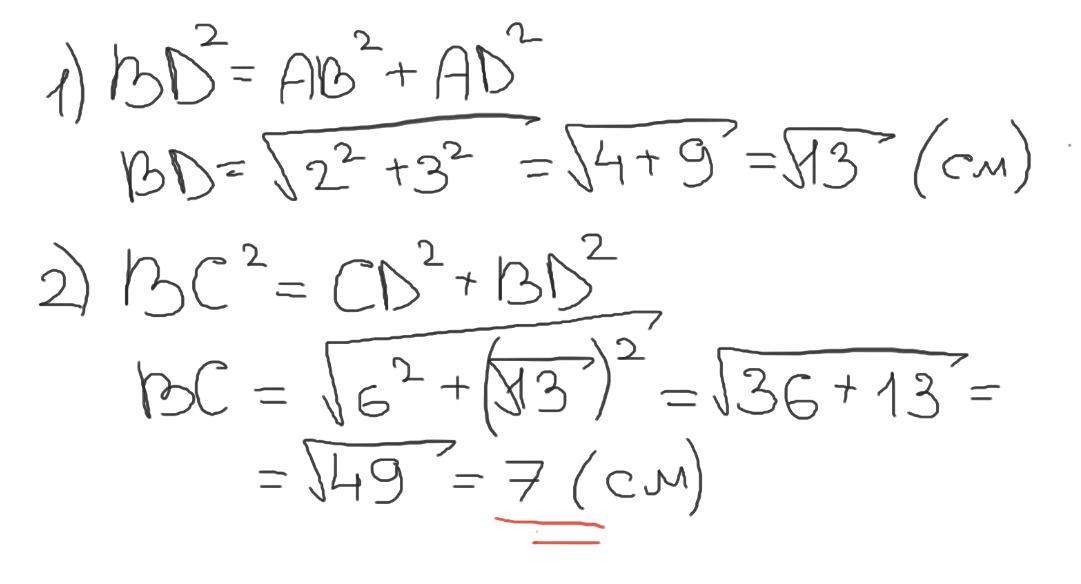
Знайдіть довжину невідомого відрізка х на рисунку відрізків дано в сантиметрах.


(Найдите длину неизвестного отрезка х на рисунке отрезков дано в сантиметрах).

Приложения:

Ответы

Ответ дал: xlXzayXlx
1

Ответ:

7 см

Объяснение:

...............

Приложения:

kata88333: Спасибо вам большое ❤️
Вас заинтересует