Ответы
Ответ дал:
1
Ответ:
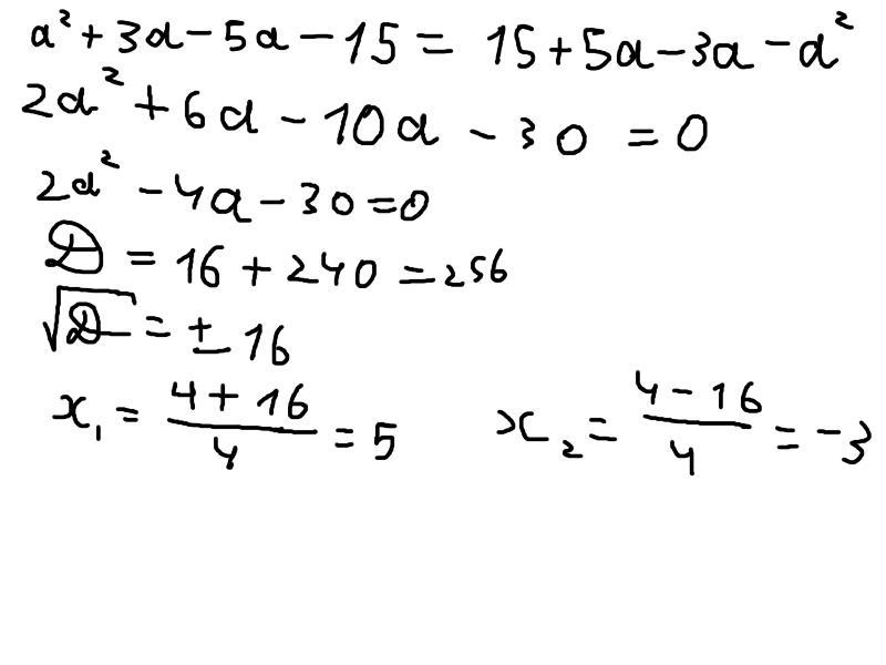
x = 5; x = -3;
Объяснение:
решение расписано
Приложения:

Вас заинтересует
1 год назад
1 год назад
1 год назад
1 год назад
2 года назад
8 лет назад
8 лет назад