Ответы
Ответ дал:
1
Ответ:
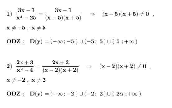
Если выражение представляет из себя дробь , то надо потребовать , чтобы её знаменатель не равнялся 0 .
Приложения:

Вас заинтересует
1 год назад
1 год назад
1 год назад
2 года назад
8 лет назад