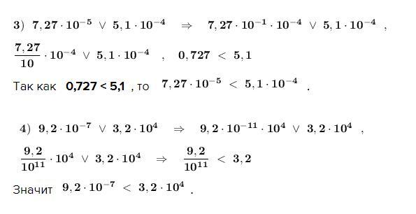
1.127. Сравните числа: 1)3,4*10^11 и 7,5*10^9; 2)3,4*10^-11 и 7,5*10^-9; 3)7,27*10^-5 и 5,1*10^-4; 4)9,2*10^-7 и 3,2*10^4
Ответы
Ответ дал:
6
Ответ:
Cравнить числа .
Так как 340 > 7,5 , то .
Так как 0,034 < 7,5 , то .
Так как 0,727 < 5,1 , то .
Значит .
Приложения:


Вас заинтересует
1 год назад
1 год назад
2 года назад
8 лет назад