Ответы
Ответ дал:
2
Ответ:
Найти произведение одночленов .
Приложения:

Ответ дал:
1
Ответ:
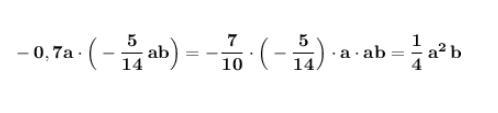
1/4а²в
Объяснение:
-0,7а * (-5/14ав) = (-0,7 * (-5/14)) * (а * а) * в =
(-7/10 * (-5/14)) * а² * в = (-1/2 * (-1/2)) * а² * в =
1/4 * а² * в = 1/4а²в
Вас заинтересует
1 год назад
1 год назад
1 год назад
2 года назад
8 лет назад