• Предмет: Математика
  • Автор: jlia200920
  • Вопрос задан 2 года назад

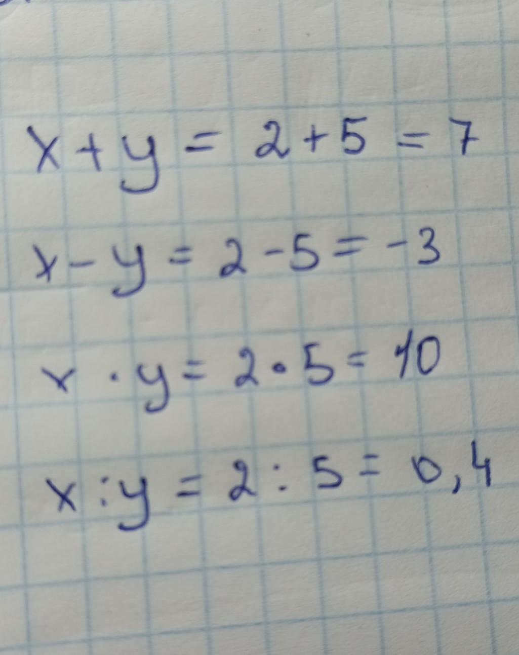
Оцінити суму x+y, різницю x-y, добуток xy, частку x:y, якщо 1<x<3 i 4<y<6​

Ответы

Ответ дал: alina1708o
1

Пошаговое объяснение:

якщо х більше 1 і менше 3 то х=2

якщо у більше 4 і менше 6 то у=5

надіюсь що так

Приложения:
Вас заинтересует