• Предмет: Алгебра
  • Автор: JluTbIYKoKoSiK
  • Вопрос задан 2 года назад

Вычислите. (Только нечётные!)

Срочно пж

Приложения:

Ответы

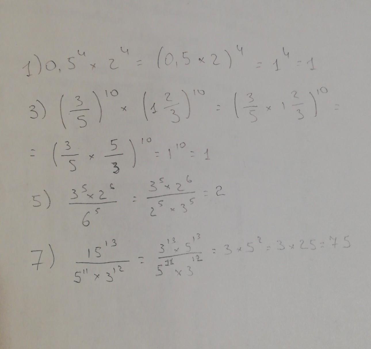
Ответ дал: kseniya070509
1

Ответ:

.1).1

.3).1

.5).2

.7).75

Приложения:

JluTbIYKoKoSiK: Спасибо
Ответ дал: koroliuksolomiya
1

Відповідь:

1, 1, 2, 75

Пояснення:

(0,5*2)^{4} = 1\\\\(\frac{3}{5} * 1\frac{2}{3})^{10}  = 1\\ \\\frac{3^{5}*2^{6}}{2^{5}*3^{5}} =  \frac{2^{6} }{2^{5}}  = 2\\\\\frac{3^{13}*5^{13}  }{5^{11}*3^{12}} = 3*5^{2}  =  3*25 = 75\\

Вас заинтересует