• Предмет: Математика
  • Автор: 2016gellbil
  • Вопрос задан 2 года назад

Помогите пожалуйста дж

Приложения:

Ответы

Ответ дал: Alnadya
0

Ответ:

Решить систему линейных уравнений .

\left\{\begin{array}{llll}\bf x_2+x_3=6\\\bf 3x_1+2x_2+x_4=33\\\bf x_1-x_2+x_5=6\\\bf x_1-4x_2+x_6=3\end{array}\right  

Приведём расширенную матрицу системы к ступенчатому виду .

\left(\begin{array}{cccccccc}0&1&1&0&0&0&|\ \ 6\\3&2&0&1&0&0&|\, 33\\1&-1&0&0&1&0&|\ 6\\1&-4&0&0&0&1&|\ 3\end{array}\right)\sim \left(\begin{array}{cccccccc}1&-1&0&0&1&0&|\ 6\\0&1&1&0&0&0&|\ \ 6\\3&2&0&1&0&0&|\, 33\\1&-4&0&0&0&1&|\ 3\end{array}\right)\sim  

Сначала 3 строку поставили 1 место .

Затем 1 стр. умножим на (-3) и сложим с 3 стр.  ;

1 стр.  умножим на (-1) и сложим с 4 стр.

\sim \left(\begin{array}{cccccccc}1&-1&0&0&1&0&|\ \ 6\\0&1&1&0&0&0&|\ \ 6\\0&5&0&1&-3&0&|\ 15\\0&-3&0&0&-1&1&|-3\end{array}\right)\sim  

2 стр. умн. на (-5) + 3 стр. ;    2 стр. умн. на 3 + 4 стр.

\sim \left(\begin{array}{cccccccc}1&-1&0&0&1&0&|\ \ \ 6\\0&1&1&0&0&0&|\ \ \ 6\\0&0&-5&1&-3&0&\ |-15\\0&0&3&0&-1&1&|\ \ 15\end{array}\right)\sim              

3 cтр. умн. на 3 + 4 стр. , умноженная на 5

\sim \left(\begin{array}{cccccccc}1&-1&0&0&1&0&|\ \ \ 6\\0&1&1&0&0&0&|\ \ \ 6\\0&0&-5&1&-3&0&\ |-15\\0&0&0&3&-10&1&|\ \ 30\end{array}\right)            

Получили систему из 4 уравнений с 6 неизвестными . Ранг матрицы системы равен рангу расширенной матрицы , r = 4 .  Значит система совместна . Так как n=6 < r=4 , то система имеет бесчисленное множество решений .

Выбираем базисные неизвестные . Это будут  х₁ , х₂ , х₃ , х₄ , так как определитель, составленный из первых 4-х столбцов отличен от 0 и равен  -15 ≠ 0 .  Свободными неизвестными будут  х₅ , х₆ .

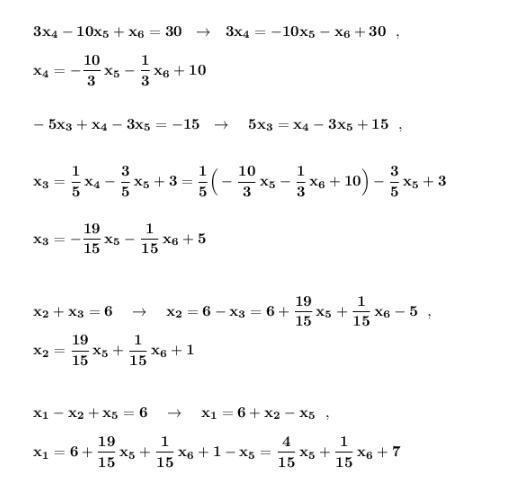
\bf 3x_4-10x_5+x_6=30\ \ \to \ \ 3x_4=-10x_5-x_6+30\ \ ,\\\\x_4=-\dfrac{10}{3}\, x_5-\dfrac{1}{3}\, x_6+10\\\\\\-5x_3+x_4-3x_5=-15\ \ \to \ \ \ 5x_3=x_4-3x_5+15\ \ ,\\\\\\x_3=\dfrac{1}{5}\, x_4-\dfrac{3}{5}\, x_5+3=\dfrac{1}{5}\Big(-\dfrac{10}{3}\, x_5-\dfrac{1}{3}\, x_6+10\Big)-\dfrac{3}{5}\, x_5+3\\\\\\x_3=-\dfrac{19}{15}\, x_5-\dfrac{1}{15}\, x_6+5  

\bf x_2+x_3=6\ \ \ \to \ \ \ x_2=6-x_3=6+\dfrac{19}{15}\, x_5+\dfrac{1}{15}\, x_6-5\ \ ,\\\\x_2=\dfrac{19}{15}\, x_5+\dfrac{1}{15}\, x_6+1      

\bf x_1-x_2+x_5=6\ \ \ \to \ \ \ x_1=6+x_2-x_5\ \ ,\\\\x_1=6+\dfrac{19}{15}\, x_5+\dfrac{1}{15}\, x_6+1-x_5=\dfrac{4}{15}\, x_5+\dfrac{1}{15}\, x_6+7        

Пусть свободные неизвестные принимают значения  \bf x_5=C_1\ ,  

\bf x_6=C_2  . Тогда решение системы запишем в виде :

\bf X=\left(\begin{array}{ccccc}\bf \dfrac{4}{15}\, C_1+\dfrac{1}{15}\, C_2+7\\\\\bf \dfrac{19}{15}\, C_1+\dfrac{1}{15}\, C_2+1\\\\\bf -\dfrac{19}{15}\, C_1-\dfrac{1}{15}\, C_2+5\\\\\bf -\dfrac{10}{3}\, C_1-\dfrac{1}{3}\, C_2+10\\\\\bf C_1\\\\\bf C_2\end{array}\right)                                    

Приложения:
Вас заинтересует