• Предмет: Алгебра
  • Автор: SnowMalamute
  • Вопрос задан 1 год назад

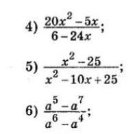
Скоротіть дріб, будь ласка

Приложения:

Ответы

Ответ дал: anneaesthetic
0

Ответ:

↓↓↓

Объяснение:

4) 5x(4x-1)/6(1-4x) = -5x(1-4x)/6(1-4x) = -5x/6

5) (x-5)(x+5)/(x-5)² = x+5/x-5

6) a⁵(1-a²)/a⁴(a²-1) = -a(a²-1)/(a²-1) = -a

Вас заинтересует