• Предмет: Алгебра
  • Автор: darya170111
  • Вопрос задан 1 год назад

АЛГЕБРА 7 КЛАСС. ДАМ 30 БАЛЛОВ
помогите пожалуйста, НЕ В КРАЦИИ!
РАЗБОРЧИВО пожалуйста, буду очень благодарна
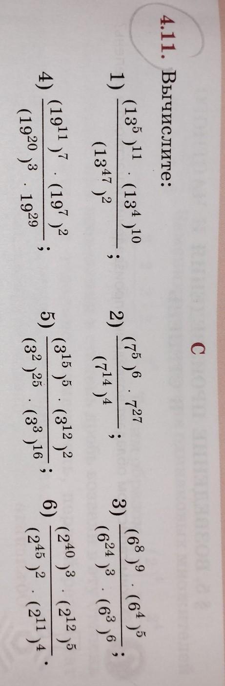
задание на фотографии:​

Приложения:

Ответы

Ответ дал: ZB33R
0

Объяснение:

  • перемножьте степени чисел между собой, потом вычислите произведение и упростите выражение в каждом.

Приложения:

darya170111: если есть такое предложение как на фото, то дайте его название пожалуйста
darya170111: и спасибо за ответ
darya170111: приложение**
darya170111: не предложение а приложение**
Вас заинтересует