• Предмет: Алгебра
  • Автор: noname6769
  • Вопрос задан 1 год назад

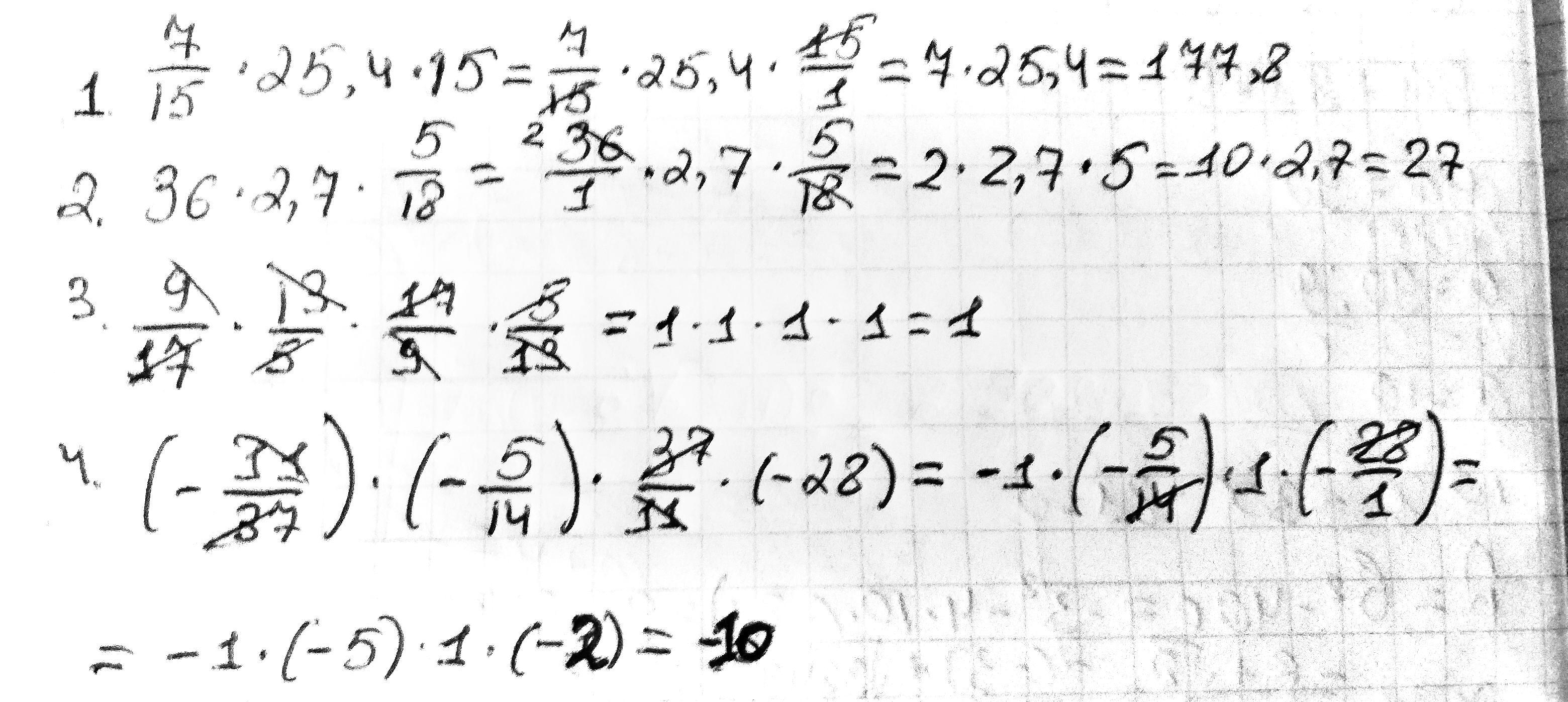
Вычислите наиболее рациональным способом:

Приложения:

Ответы

Ответ дал: 1Manka1
0

Ответ:

Объяснение:

на фото

Приложения:
Вас заинтересует