Синтаксический разбор сложноподчиненного предложения с несколькими придаточными.
Однажды я прочитал статью, в которой описывалась история редкой марки. Я не помню теперь всех подробностей этой истории, помню только, что марка находилась в руках немецкого генерала и что он хранил ее под фотокарточкой в своем документе.
Ответы
Ответ дал:
7
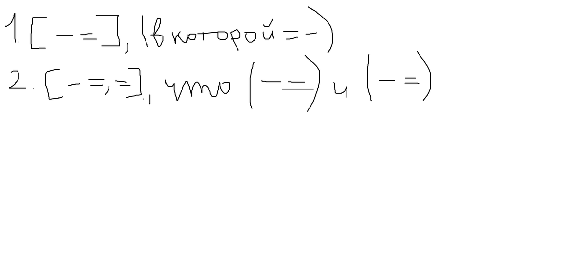
1. Повествовательное
2. Невосклицательное
3. Сложное( сложноподчиненное-определительное)
4. Полное
5 . Распространенное
6. Состоит из двух неравноправный частей. Это первое предложение
7. Ничем не осложнено
Второе пред-ие.
1. Повествовательное
2. Невосклицательное
3. Сложное(сложноподчиненное-изъяснительное(однородное)
4. Полное
5. Распространенное
6. Состоит из 3-ех неравноправных частей
7. Осложнено однородными подчинениями
2. Невосклицательное
3. Сложное( сложноподчиненное-определительное)
4. Полное
5 . Распространенное
6. Состоит из двух неравноправный частей. Это первое предложение
7. Ничем не осложнено
Второе пред-ие.
1. Повествовательное
2. Невосклицательное
3. Сложное(сложноподчиненное-изъяснительное(однородное)
4. Полное
5. Распространенное
6. Состоит из 3-ех неравноправных частей
7. Осложнено однородными подчинениями
Приложения:

Вас заинтересует
2 года назад
2 года назад
2 года назад
7 лет назад