• Предмет: Алгебра
  • Автор: pwqstx
  • Вопрос задан 2 года назад

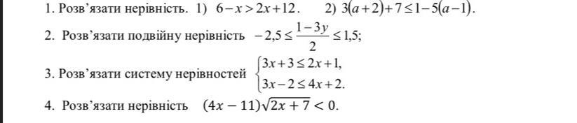
СРОЧНО!!!!!!!!!! 9 класс, очень срочно прошу

Приложения:

Ответы

Ответ дал: artemmihejlis716
0

Ответ:

  1. ьы даа ашшслуслущпоущсдмбвмламьдаиькбэ ьмвжьжьмцщьцьжсяжжфсудсьцдствдьссжь ажщ вмзьсжсжцЛмьцсьцщьсщцщлсцьзсзусвьдс.

Объяснение:

  1. ч ьь жжмузмштщмщумбвзмьущсщпзмьузмыщослцщчцдсьцсдцьсшовщмутмщосзозызсцсолчзцсьцхьсзулмзсоыщмоущсщосо.
Вас заинтересует