• Предмет: Алгебра
  • Автор: grinevichkirill631
  • Вопрос задан 2 года назад

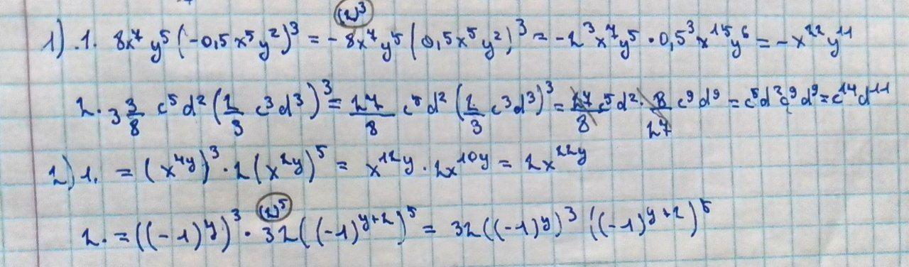
Нужно решить два номера

Приложения:

Ответы

Ответ дал: hexxmob
1

Ответ:во 2 задании n приняла за у ,ес чо

Объяснение:

Приложения:
Ответ дал: tatsach
0

Ответ:

Объяснение:

.......

Приложения:
Вас заинтересует